TELOK KURAU LODGE
Info
Rental Transactions (Recent 6 Months) : 0
Total Units : 0
Multiple Properties Owner Units : 0
Foreign Owners : 0
Push Technology Delivery System (PTDS). All Numbers are Prescoped/Prescored. Realtime DNC Scrubbed and PDPA Compliant.
Building Details
57 LORONG H TELOK KURAU4 Floors18 Units

Gallery

Cover

 

Cover

 

Location Map

 

Price List

 

Project Detail

 

Site Plan

 

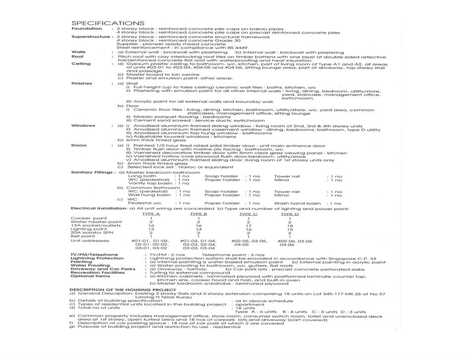
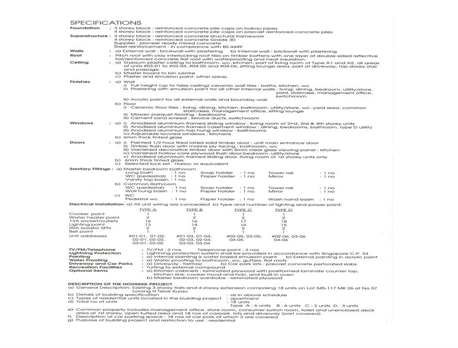
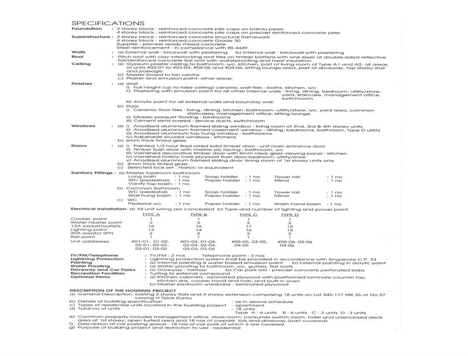
Specifications

 

RENTAL TRANSACTIONS

2 Rental Transactions

Rental Price Date Area (Sqft) Floor Source
$ 4,0002025/06/01Jun-20251200-1300URA
$ 4,5002025/01/01Jan-20251200-1300URA
SKIPS : Data contributed by Agents handling the transaction and Only available in Amicus.
SKIPS = Singapore Key Indicator Of Property Sold/Rented
THIS MONTH PREDICTIVE RENTAL RENEWAL
No data available.
RENTAL LISTING
Agent Photo
PEARLYN CHIONH

CEA : R041100D

Contact : 96882064

Agency : PROPNEX REALTY PTE. LTD.

Price : $5000

PSF : $4.04

SQFT : 1238

No. of Room : 3

25-Sep-2025

Agent Photo
KAREN KOH

CEA : R045689Z

Contact :

Agency : ERA REALTY NETWORK PTE LTD

Price : $4400

PSF : $3.62

SQFT : 1216

No. of Room : 3

20-Aug-2025

FLOOR PLAN ELEVATION CHART
PRIMARY SCHOOL

Condominiums Within 1km Condominiums Between 1 to 2km HDB Within 1km HDB Between 1 to 2km
AMENITIES
Property Location MRT Station Primary School Community Club Supermarket